Οι εξετάσεις ολοκληρώνονται σήμερα για τα ΓΕΛ, ενώ αύριο, Σάββατο, οι υποψήφιοι των ΕΠΑΛ διαγωνίζονται σε Υγιεινή, Προγραμματισμό Υπολογιστών, Αρχές Οργάνωσης και Διοίκησης (ΑΟΔ) και Στοιχεία Μηχανικής.
Το in σε συνεργασία με το φροντιστήριο «Ορόσημο Πειραιά» ενημερώνουν άμεσα για τα θέματα και τις απαντήσεις τους καθ’ όλη τη διάρκεια των εξετάσεων.
Τα θέματα χαρακτηρίζονται ως βατά χωρίς να κρύβουν ιδιαίτερες δυσκολίες για τους υποψηφίους:
Θέματα Α1, Β1, Β2 : αναμενόμενης δυσκολίας
Θέματα Γ και Δ : απευθύνονται σε επαρκώς προετοιμασμένους μαθητές που κατέχουν τη σχετική μεθοδολογία.

Οι απαντήσεις στην Ιστορία

ΘΕΜΑ Α: Προσοχή
ΘΕΜΑ Β : Βατό, Β1 προσοχή στη διατύπωση, Β2 πολλές πράξεις-κακή διατύπωση, Β3 για έμπειρους μαθητές.
ΘΕΜΑ Γ : Βατό.
ΘΕΜΑ Δ: Χρονοβόρο το λιγότερο 1 ώρα για επίλυση από μαθητές.
Οι απαντήσεις στη Φυσική

ΘΕΜΑ Α: Βατά κι αναμενόμενα, με λίγο προσοχή Α1(δ) και Α2.
ΘΕΜΑ Β : Αναμενόμενα. Θεωρία από εισαχθέν κεφάλαιο στην ύλη, χωρίς ιδιαίτερες απαιτήσεις.
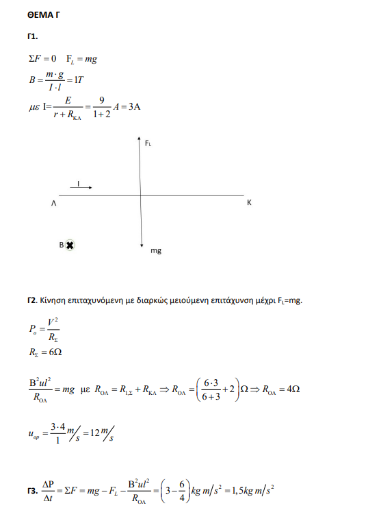
ΘΕΜΑ Γ : ΚΕΦ 1 με τυπικά ερωτήματα και ιδιαιτερότητα στο Γ5, καθώς μερικώς συνδυαστικό.
ΘΕΜΑ Δ: Βατά και αναμενόμενα ερωτήματα.

Οι απαντήσεις στην Οικονομία







